首页
新闻中心
院部概况
招生简章
学历进修
社会服务
联系我们
图片集锦
学院首页
当前位置:
首页
>>
新闻中心
>>
通知公告
>> 正文
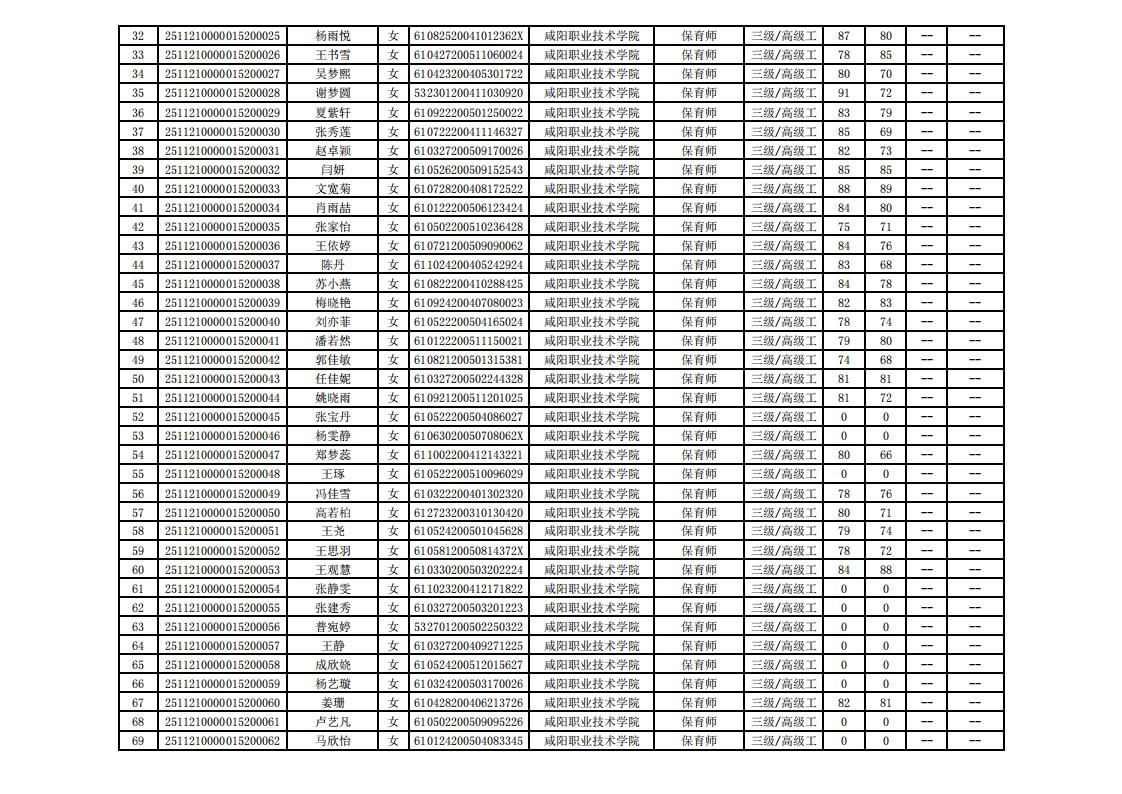
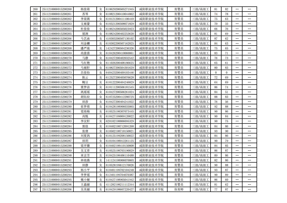
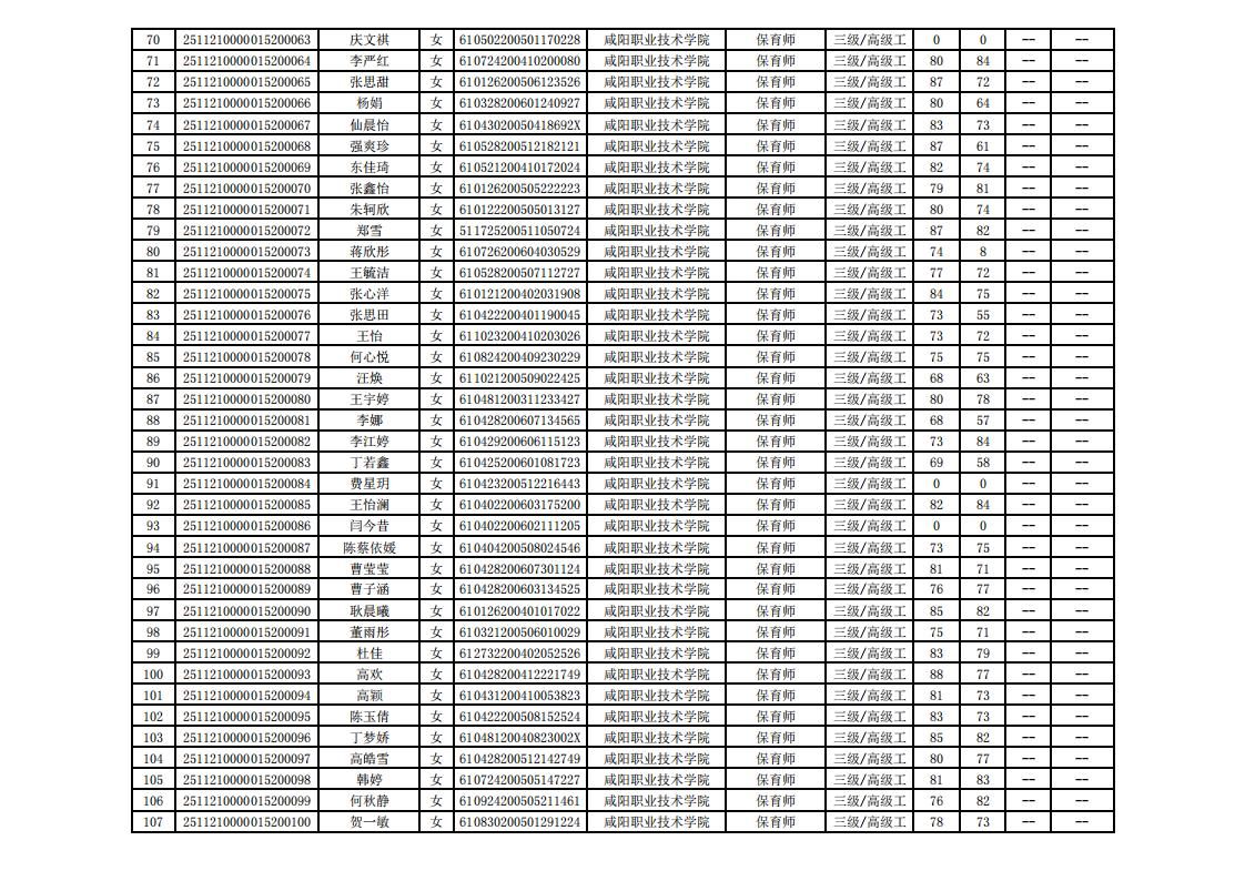
2025年第三批职业技能等级认定成绩公示
2025-12-11